双指针技巧秒杀七道链表题目
本文总结一下单链表的基本技巧,每个技巧都对应着至少一道算法题:
1、合并两个有序链表
2、链表的分解
3、合并 k 个有序链表
4、寻找单链表的倒数第 k 个节点
5、寻找单链表的中点
6、判断单链表是否包含环并找出环起点
7、判断两个单链表是否相交并找出交点
这些解法都用到了双指针技巧,所以说对于单链表相关的题目,双指针的运用是非常广泛的,下面我们就来一个一个看。
合并两个有序链表
这是最基本的链表技巧,力扣第 21 题「合并两个有序链表」就是这个问题,给你输入两个有序链表,请你把他俩合并成一个新的有序链表:
func mergeTwoLists(l1 *ListNode, l2 *ListNode) *ListNode {
// 虚拟头结点
dummy := &ListNode{-1, nil}
p := dummy
p1 := l1
p2 := l2
for p1 != nil && p2 != nil {
// 比较 p1 和 p2 两个指针
// 将值较小的的节点接到 p 指针
if p1.Val > p2.Val {
p.Next = p2
p2 = p2.Next
} else {
p.Next = p1
p1 = p1.Next
}
// p 指针不断前进
p = p.Next
}
if p1 != nil {
p.Next = p1
}
if p2 != nil {
p.Next = p2
}
return dummy.Next
}
我们的 while 循环每次比较 p1 和 p2 的大小,把较小的节点接到结果链表上,看如下 GIF:

形象地理解,这个算法的逻辑类似于拉拉链,l1, l2 类似于拉链两侧的锯齿,指针 p 就好像拉链的拉索,将两个有序链表合并。
代码中还用到一个链表的算法题中是很常见的「虚拟头结点」技巧,也就是 dummy 节点。你可以试试,如果不使用 dummy 虚拟节点,代码会复杂一些,需要额外处理指针 p 为空的情况。而有了 dummy 节点这个占位符,可以避免处理空指针的情况,降低代码的复杂性。
何时使用虚拟头结点
经常有读者问我,什么时候需要用虚拟头结点?我这里总结下:当你需要创造一条新链表的时候,可以使用虚拟头结点简化边界情况的处理。
比如说,让你把两条有序链表合并成一条新的有序链表,是不是要创造一条新链表?再比你想把一条链表分解成两条链表,是不是也在创造新链表?这些情况都可以使用虚拟头结点简化边界情况的处理。
单链表的分解
直接看下力扣第 86 题「分隔链表」:
在合并两个有序链表时让你合二为一,而这里需要分解让你把原链表一分为二。具体来说,我们可以把原链表分成两个小链表,一个链表中的元素大小都小于 x,另一个链表中的元素都大于等于 x,最后再把这两条链表接到一起,就得到了题目想要的结果。
整体逻辑和合并有序链表非常相似,细节直接看代码吧,注意虚拟头结点的运用:
func partition(head *ListNode, x int) *ListNode {
// 存放小于 x 的链表的虚拟头结点
dummy1 := &ListNode{-1, nil}
// 存放大于等于 x 的链表的虚拟头结点
dummy2 := &ListNode{-1, nil}
// p1, p2 指针负责生成结果链表
p1, p2 := dummy1, dummy2
// p 负责遍历原链表,类似合并两个有序链表的逻辑
// 这里是将一个链表分解成两个链表
p := head
for p != nil {
if p.Val >= x {
p2.Next = p
p2 = p2.Next
} else {
p1.Next = p
p1 = p1.Next
}
// 不能直接让 p 指针前进,
// p = p.Next
// 断开原链表中的每个节点的 next 指针
temp := p.Next
p.Next = nil
p = temp
}
// 连接两个链表
p1.Next = dummy2.Next
return dummy1.Next
}
我知道有很多读者会对这段代码有疑问:
// 不能直接让 p 指针前进,
// p = p.next
// 断开原链表中的每个节点的 next 指针
ListNode temp = p.next;
p.next = null;
p = temp;
总的来说,如果我们需要把原链表的节点接到新链表上,而不是 new 新节点来组成新链表的话,那么断开节点和原链表之间的链接可能是必要的。那其实我们可以养成一个好习惯,但凡遇到这种情况,就把原链表的节点断开,这样就不会出错了。
合并 k 个有序链表
看下力扣第 23 题「合并 K 个升序链表」:
合并 k 个有序链表的逻辑类似合并两个有序链表,难点在于,如何快速得到 k 个节点中的最小节点,接到结果链表上?
这里我们就要用到优先级队列这种数据结构,把链表节点放入一个最小堆,就可以每次获得 k 个节点中的最小节点。关于优先级队列可以参考 优先级队列(二叉堆)原理及实现,本文不展开。
import "container/heap"
// 为 ListNode 实现 heap.Interface 接口
type PriorityQueue []*ListNode
func (pq PriorityQueue) Len() int { return len(pq) }
func (pq PriorityQueue) Less(i, j int) bool {
return pq[i].Val < pq[j].Val
}
func (pq PriorityQueue) Swap(i, j int) {
pq[i], pq[j] = pq[j], pq[i]
}
func (pq *PriorityQueue) Push(x interface{}) {
*pq = append(*pq, x.(*ListNode))
}
func (pq *PriorityQueue) Pop() interface{} {
old := *pq
n := len(old)
x := old[n-1]
*pq = old[0 : n-1]
return x
}
func mergeKLists(lists []*ListNode) *ListNode {
if len(lists) == 0 {
return nil
}
// 虚拟头结点
dummy := &ListNode{Val: -1}
p := dummy
// 优先级队列,最小堆
pq := &PriorityQueue{}
heap.Init(pq)
// 将 k 个链表的头结点加入最小堆
for _, head := range lists {
if head != nil {
heap.Push(pq, head)
}
}
for pq.Len() > 0 {
// 获取最小节点,接到结果链表中
node := heap.Pop(pq).(*ListNode)
p.Next = node
if node.Next != nil {
heap.Push(pq, node.Next)
}
// p 指针不断前进
p = p.Next
}
return dummy.Next
}
这个算法是面试常考题,它的时间复杂度是多少呢?
优先队列 pq 中的元素个数最多是 k,所以一次 poll 或者 add 方法的时间复杂度是 O(logk);所有的链表节点都会被加入和弹出 pq,所以算法整体的时间复杂度是 O(Nlogk),其中 k 是链表的条数,N 是这些链表的节点总数。
单链表的倒数第 k 个节点
从前往后寻找单链表的第 k 个节点很简单,一个 for 循环遍历过去就找到了,但是如何寻找从后往前数的第 k 个节点呢?
那你可能说,假设链表有 n 个节点,倒数第 k 个节点就是正数第 n - k + 1 个节点,不也是一个 for 循环的事儿吗?
是的,但是算法题一般只给你一个 ListNode 头结点代表一条单链表,你不能直接得出这条链表的长度 n,而需要先遍历一遍链表算出 n 的值,然后再遍历链表计算第 n - k + 1 个节点。
也就是说,这个解法需要遍历两次链表才能得到出倒数第 k 个节点。
那么,我们能不能只遍历一次链表,就算出倒数第 k 个节点?可以做到的,如果是面试问到这道题,面试官肯定也是希望你给出只需遍历一次链表的解法。
这个解法就比较巧妙了,假设 k = 2,思路如下:
首先,我们先让一个指针 p1 指向链表的头节点 head,然后走 k 步:

现在的 p1,只要再走 n - k 步,就能走到链表末尾的空指针了对吧?
趁这个时候,再用一个指针 p2 指向链表头节点 head:

接下来就很显然了,让 p1 和 p2 同时向前走,p1 走到链表末尾的空指针时前进了 n - k 步,p2 也从 head 开始前进了 n - k 步,停留在第 n - k + 1 个节点上,即恰好停链表的倒数第 k 个节点上:

这样,只遍历了一次链表,就获得了倒数第 k 个节点 p2。
上述逻辑的代码如下:
// 返回链表的倒数第 k 个节点
func findFromEnd(head *ListNode, k int) *ListNode {
p1 := head
// p1 先走 k 步
for i := 0; i < k; i++ {
p1 = p1.Next
}
p2 := head
// p1 和 p2 同时走 n - k 步
for p1 != nil {
p1 = p1.Next
p2 = p2.Next
}
// p2 现在指向第 n - k + 1 个节点,即倒数第 k 个节点
return p2
}
当然,如果用 big O 表示法来计算时间复杂度,无论遍历一次链表和遍历两次链表的时间复杂度都是 O(N),但上述这个算法更有技巧性。
很多链表相关的算法题都会用到这个技巧,比如说力扣第 19 题「删除链表的倒数第 N 个结点」:
我们直接看解法代码:
func removeNthFromEnd(head *ListNode, n int) *ListNode {
// 虚拟头结点
dummy := &ListNode{Val: -1}
dummy.Next = head
// 删除倒数第 n 个,要先找倒数第 n + 1 个节点
x := findFromEnd(dummy, n+1)
// 删掉倒数第 n 个节点
x.Next = x.Next.Next
return dummy.Next
}
func findFromEnd(head *ListNode, k int) *ListNode {
// 代码见上文
}
这个逻辑就很简单了,要删除倒数第 n 个节点,就得获得倒数第 n + 1 个节点的引用,可以用我们实现的 findFromEnd 来操作。
不过注意我们又使用了虚拟头结点的技巧,也是为了防止出现空指针的情况,比如说链表总共有 5 个节点,题目就让你删除倒数第 5 个节点,也就是第一个节点,那按照算法逻辑,应该首先找到倒数第 6 个节点。但第一个节点前面已经没有节点了,这就会出错。
但有了我们虚拟节点 dummy 的存在,就避免了这个问题,能够对这种情况进行正确的删除。
单链表的中点
力扣第 876 题「链表的中间结点」就是这个题目,问题的关键也在于我们无法直接得到单链表的长度 n,常规方法也是先遍历链表计算 n,再遍历一次得到第 n / 2 个节点,也就是中间节点。
如果想一次遍历就得到中间节点,也需要耍点小聪明,使用「快慢指针」的技巧:
我们让两个指针 slow 和 fast 分别指向链表头结点 head。
每当慢指针 slow 前进一步,快指针 fast 就前进两步,这样,当 fast 走到链表末尾时,slow 就指向了链表中点。
上述思路的代码实现如下:
func middleNode(head *ListNode) *ListNode {
// 快慢指针初始化指向 head
slow, fast := head, head
// 快指针走到末尾时停止
for fast != nil && fast.Next != nil {
// 慢指针走一步,快指针走两步
slow = slow.Next
fast = fast.Next.Next
}
// 慢指针指向中点
return slow
}
需要注意的是,如果链表长度为偶数,也就是说中点有两个的时候,我们这个解法返回的节点是靠后的那个节点。
另外,这段代码稍加修改就可以直接用到判断链表成环的算法题上。
判断链表是否包含环
判断链表是否包含环属于经典问题了,解决方案也是用快慢指针:
每当慢指针 slow 前进一步,快指针 fast 就前进两步。
如果 fast 最终能正常走到链表末尾,说明链表中没有环;如果 fast 走着走着竟然和 slow 相遇了,那肯定是 fast 在链表中转圈了,说明链表中含有环。
只需要把寻找链表中点的代码稍加修改就行了:
func hasCycle(head *ListNode) bool {
// 快慢指针初始化指向 head
slow, fast := head, head
// 快指针走到末尾时停止
for fast != nil && fast.Next != nil {
// 慢指针走一步,快指针走两步
slow = slow.Next
fast = fast.Next.Next
// 快慢指针相遇,说明含有环
if slow == fast {
return true
}
}
// 不包含环
return false
}
当然,这个问题还有进阶版,也是力扣第 142 题「环形链表 II」:如果链表中含有环,如何计算这个环的起点?
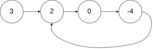
举个例子,环的起点是指下面这幅图中的节点 2:

这里先直接看一下寻找环起点的解法代码:
func detectCycle(head *ListNode) *ListNode {
fast, slow := head, head
for fast != nil && fast.Next != nil {
fast = fast.Next.Next
slow = slow.Next
if fast == slow {
break
}
}
// 上面的代码类似 hasCycle 函数
if fast == nil || fast.Next == nil {
// fast 遇到空指针说明没有环
return nil
}
// 重新指向头结点
slow = head
// 快慢指针同步前进,相交点就是环起点
for slow != fast {
fast = fast.Next
slow = slow.Next
}
return slow
}
可以看到,当快慢指针相遇时,让其中任一个指针指向头节点,然后让它俩以相同速度前进,再次相遇时所在的节点位置就是环开始的位置。
为什么要这样呢?这里简单说一下其中的原理。
我们假设快慢指针相遇时,慢指针 slow 走了 k 步,那么快指针 fast 一定走了 2k 步:

fast 一定比 slow 多走了 k 步,这多走的 k 步其实就是 fast 指针在环里转圈圈,所以 k 的值就是环长度的「整数倍」。
假设相遇点距环的起点的距离为 m,那么结合上图的 slow 指针,环的起点距头结点 head 的距离为 k - m,也就是说如果从 head 前进 k - m 步就能到达环起点。
巧的是,如果从相遇点继续前进 k - m 步,也恰好到达环起点。因为结合上图的 fast 指针,从相遇点开始走 k 步可以转回到相遇点,那走 k - m 步肯定就走到环起点了:

所以,只要我们把快慢指针中的任一个重新指向 head,然后两个指针同速前进,k - m 步后一定会相遇,相遇之处就是环的起点了。
两个链表是否相交
这个问题有意思,也是力扣第 160 题「相交链表」函数签名如下:
给你输入两个链表的头结点 headA 和 headB,这两个链表可能存在相交。
如果相交,你的算法应该返回相交的那个节点;如果没相交,则返回 null。
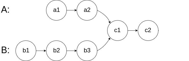
比如题目给我们举的例子,如果输入的两个链表如下图:

那么我们的算法应该返回 c1 这个节点。
这个题直接的想法可能是用 HashSet 记录一个链表的所有节点,然后和另一条链表对比,但这就需要额外的空间。
如果不用额外的空间,只使用两个指针,你如何做呢?
难点在于,由于两条链表的长度可能不同,两条链表之间的节点无法对应:

如果用两个指针 p1 和 p2 分别在两条链表上前进,并不能同时走到公共节点,也就无法得到相交节点 c1。
解决这个问题的关键是,通过某些方式,让 p1 和 p2 能够同时到达相交节点 c1。
所以,我们可以让 p1 遍历完链表 A 之后开始遍历链表 B,让 p2 遍历完链表 B 之后开始遍历链表 A,这样相当于「逻辑上」两条链表接在了一起。
如果这样进行拼接,就可以让 p1 和 p2 同时进入公共部分,也就是同时到达相交节点 c1:

那你可能会问,如果说两个链表没有相交点,是否能够正确的返回 null 呢?
这个逻辑可以覆盖这种情况的,相当于 c1 节点是 null 空指针嘛,可以正确返回 null。
按照这个思路,可以写出如下代码:
func getIntersectionNode(headA, headB *ListNode) *ListNode {
// p1 指向 A 链表头结点,p2 指向 B 链表头结点
p1, p2 := headA, headB
for p1 != p2 {
// p1 走一步,如果走到 A 链表末尾,转到 B 链表
if p1 == nil {
p1 = headB
} else {
p1 = p1.Next
}
// p2 走一步,如果走到 B 链表末尾,转到 A 链表
if p2 == nil {
p2 = headA
} else {
p2 = p2.Next
}
}
return p1
}
这样,这道题就解决了,空间复杂度为 O(1),时间复杂度为 O(N)。
以上就是单链表的所有技巧,希望对你有启发。
2022/1/24 更新:
评论区有不少优秀读者对最后一题「寻找两条链表的交点」提出了一些其他思路,也补充到这里。
首先有读者提到,如果把两条链表首尾相连,那么「寻找两条链表的交点」的问题转换成了前面讲的「寻找环起点」的问题:

说实话我没有想到这种思路,不得不说这是一个很巧妙的转换!不过需要注意的是,这道题说不让你改变原始链表的结构,所以你把题目输入的链表转化成环形链表求解之后记得还要改回来,否则无法通过。
另外,还有读者提到,既然「寻找两条链表的交点」的核心在于让 p1 和 p2 两个指针能够同时到达相交节点 c1,那么可以通过预先计算两条链表的长度来做到这一点,具体代码如下:
func getIntersectionNode(headA, headB *ListNode) *ListNode {
lenA, lenB := 0, 0
// 计算两条链表的长度
for p1 := headA; p1 != nil; p1 = p1.Next {
lenA++
}
for p2 := headB; p2 != nil; p2 = p2.Next {
lenB++
}
// 让 p1 和 p2 到达尾部的距离相同
p1, p2 := headA, headB
if lenA > lenB {
for i := 0; i < lenA - lenB; i++ {
p1 = p1.Next
}
} else {
for i := 0; i < lenB - lenA; i++ {
p2 = p2.Next
}
}
// 看两个指针是否会相同,p1 == p2 时有两种情况:
// 1、要么是两条链表不相交,他俩同时走到尾部空指针
// 2、要么是两条链表相交,他俩走到两条链表的相交点
for p1 != p2 {
p1 = p1.Next
p2 = p2.Next
}
return p1
}
虽然代码多一些,但是时间复杂度是还是 O(N),而且会更容易理解一些。
总之,我的解法代码并不一定就是最优或者最正确的,鼓励大家在评论区多多提出自己的疑问和思考,我也很高兴和大家探讨更多的解题思路~
到这里,链表相关的双指针技巧就全部讲完了,这些技巧的更多扩展延伸见 更多链表双指针经典习题。